
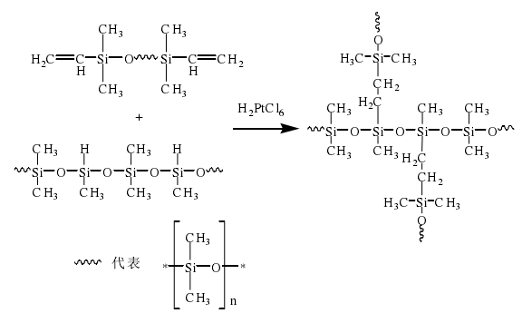
雙組份加成型硅橡膠則主要由乙烯基聚二甲基硅氧烷與氫基聚二甲基硅氧烷,在鉑催化劑的催化作用下發生硅氫加成反應,而交聯成的網狀結構的彈性體。產品分為A、B兩組份包裝,使用時按一定比例將兩組份充分混合均勻,在一定溫度下,即可硫化成彈性體。其硫化機理是,生膠端基上的乙烯基和交聯劑分子上的硅氫鍵,在含鉑化合物的催化下發生加成反映來完成的。

圖1 加成型硅橡膠反應機理
加成型硅橡膠的固化劑即鉑金催化劑,大多數加成型硅橡膠都是通過鉑金催化劑來使其固化的。
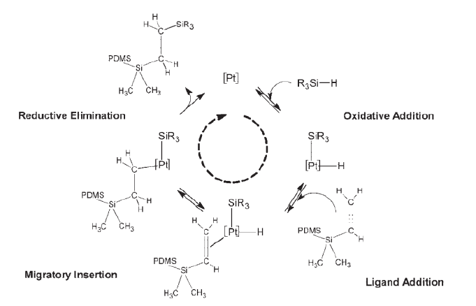
一般以第八族過渡金屬(比如鉑、鈀、銠、鎳)及其化合物或相應絡合物作為硅氫加成反應的催化劑,研究表明,這些種類催化劑中,鉑類催化劑具有最佳的催化效率2931。將鉑化合物制成與聚硅氧烷的的相容性非常好的甲基乙烯基硅氧烷配位化合物,即 Karstedt催化劑,或者將鉑化合物溶于四氫呋喃或異丙醇中形成配合物溶液,其催化效率更佳,其催化機理如圖2所示。鉑催化劑的催化效率較高,故使用量較少,一般(以鉑計)在聚合物總重的5~500pm之間3。李艷萍等研究了鉑催化劑添加量在5~100ppm范圍內變化時,對加成型硅橡膠固化時間和力學性能的影響,發現催化劑添加量為15ppm時,固化時間少于200s,彈性模量可達7.7MPa,斷裂伸長率可達730%。催化劑用量并不是越多越好,催化劑過量時,反應太快,膠料內部氣泡來不及逸出便被密封在加成型硅橡膠里,容易造成性能上的缺陷。

圖2 鉑催化劑的催化原理示意圖
宏圖加成型液體硅膠出貨裝
